Is This the Most Foolproof Method for Making Rice? We Tested to Find Out

Many home cooks swear that the “knuckle method” yields the perfect ratio of water to rice, regardless of batch size or size of pot. But how does the technique actually work? And…does it work?

Graphic for measuring knuckle rice

Serious Eats / Amanda Suarez

I grew up in a home where rice was on the table every single night, and I have been cooking rice my entire adult life, often multiple times a week. And each time, I make it the exact same way: I wash the grains in water until it runs clear, strain the rice, then place it in a pot. I touch the top of the rice using my pointer finger and add just enough water to reach my first knuckle. This technique is widely referred to as the “knuckle method,” which many home cooks—particularly those of Asian descent, including myself—swear will yield the perfect ratio of water to rice, regardless of batch size, owner of finger, or size of pot. Every time.

“The knuckle method has always been foolproof,” food writer Jess Eng tells me. “I picked it up from my mom who picked it up from her mom.” Eng grew up watching her parents make rice using the knuckle method, and today she prepares rice the exact same way, though she’s unable to offer an explanation of why she thinks it works. Meredith Wong, a Chicago-based home cook whom I connected with over social media after putting out a request seeking knuckle-rice enthusiasts, says her late grandfather taught her the technique. “I can’t remember when he showed me, but I’ve used it as a guide since,” she says. 

Side view of knuckle rice

Serious Eats / Amanda Suarez

Like Eng and Wong, I learned to make rice by watching my parents and grandparents. I don’t remember when, exactly, they taught me, nor do I remember a time in my life when I didn’t know how to make rice. I’ve been doing it for so long that it feels deeply intuitive. With the knuckle method, I can make fluffy, tender grains in any pot and in any kitchen. But how does the technique actually work? And also, more critically: Does it work?

These questions first popped into my head when I watched my husband, who grew up in a household where his Scottish and Ashkenazi Jewish parents did not regularly cook rice, attempt to follow my knuckle-rice instructions. I showed him the way my parents taught me, confident his rice would come out as perfect as mine. He followed my directions to a T, but his grains came out mushy and overcooked. What had gone wrong, I wondered, and was it possible that the knuckle method wasn’t as foolproof as I thought? I decided to find out.

What Happens When You Cook Rice?

In order to understand how the knuckle method works, we first need to understand a couple basic things about what happens when you cook rice. As the rice cooks, the grains absorb water and the starch inside swells and softens. But there’s only so much water rice can absorb before it reaches optimal gelatinization—any more and the rice blows out and turns to mush. “That ratio sits at around one part of water to one part of rice by volume,” writes Tim Chin in his basic white rice recipe.

This may strike readers who have cooked rice at least a few times in their lives as odd: Most recipes don't call for equal volumes of rice and water, they call for slightly more water than rice. Ratios vary, but roughly one-and-a-quarter cups of water per one cup of dried rice is common. The reason for this is evaporation. A 1:1 ratio of rice to water by volume may be ideal, but that's only true if none of the water escapes as steam. In the real world, since some amount of water boils off in a cloud of vapor, you have to add a little extra or you'll end up with too little water and grains of crunchy rice.

And here we get to another tricky detail: This extra amount of water that's needed when cooking rice—let's call it the evaporation quotient—does not scale proportionally as the batch size goes up. Meaning, you may need one-and-a-quarter cups of water to cook one cup of rice, but you don't need two-and-a-half cups of water to cook two cups of rice. That's because, given roughly similar pot sizes, the amount of water that evaporates is more or less the same no matter if you're cooking one, two, or three cups of rice; you'll always lose about one-quarter cup of water as steam.

Understanding the logic behind the knuckle method requires first understanding these basic facts of absorption and evaporation during the cooking of rice.

How Does the Knuckle Method Work?

One of the main arguments for why the knuckle method works hinges on the idea that as the rice batch size goes up, the water scales up with it in a ratio of 1:1 by volume, but the evaporation quotient does not—it just gets added on top.

In a YouTube video, Julie Yu, a scientist at the San Francisco museum Exploratorium, tells viewers that when you put dry rice in a pot and add only enough water to just submerge the rice, you've more or less arrived at that basic, perfect 1:1 ratio of water to rice by volume. Meaning, the volume of all the space between the dry rice grains that is filled by the water is roughly equal to the volume of the dry rice itself. She then goes on to explain that by placing the tip of your index finger against the surface of the bed of rice and bringing the water up to that first knuckle, you are successfully measuring the evaporation quotient.

“Because the amount that you need for absorption scales [with] the amount of rice, but the amount that escapes by evaporation does not, a ratio method is going to cause you trouble when you get into larger and larger quantities of rice,” she says. And that, my friends, is why the knuckle method can work regardless of the batch size, whereas simply multiplying a base ratio does not.

According to Yu, the method is so dependable because the length of your index finger from tip to first knuckle just happens to be spot-on for measuring the evaporation quotient. But of course her point is not only that your finger is the perfect length for measuring the water to be evaporated, but that everyone's finger is the correct length for this. She claims, quite confidently, that the “first segment of adult-sized fingers are remarkably similar,” adding that if viewers didn’t believe her, we could measure for ourselves—which is exactly what I did.

The Testing

The theory behind the knuckle method makes sense: Volumes of water and rice scale in a 1:1 ratio, but the extra water needed to account for steam does not. But after watching my husband, I had doubts about how "foolproof" the method really was in practice. Are our fingers really similar enough in length to guarantee such consistent results? The good news is that this is easily measured with a ruler and calculated using basic geometry.

I decided to run two tests, one based solely on finger measurements and volume calculations, the second a more real-world examination of the knuckle rice method put into practice.

Test 1: Counting on Fingers

With ruler in hand, I set off around the office, asking friends, colleagues, and strangers if I could measure their index fingers. (This elicited some strange looks—you’d be amazed how uncomfortable this can make some people.) 

Soon, I had the measurements of the first phalanx (to use the anatomically correct term) of the index fingers of 19 people. Even in such a small sample size, I could see that not everyone's finger was the same length. In my survey, I documented a six millimeter range between the smallest finger segment (2.3 centimeters) and the largest segment (2.9 centimeters, belonging to our very own editorial director Daniel Gritzer). Since this was a survey of only 19 index fingers, one can safely assume that a larger number of measurements would have uncovered an even bigger range. But let's work with what we've got—let's say six millimeters is how much human index fingers vary when measured from the tip to the top to the knuckle (which I defined as the most pronounced crease on the palm-side of the finger).

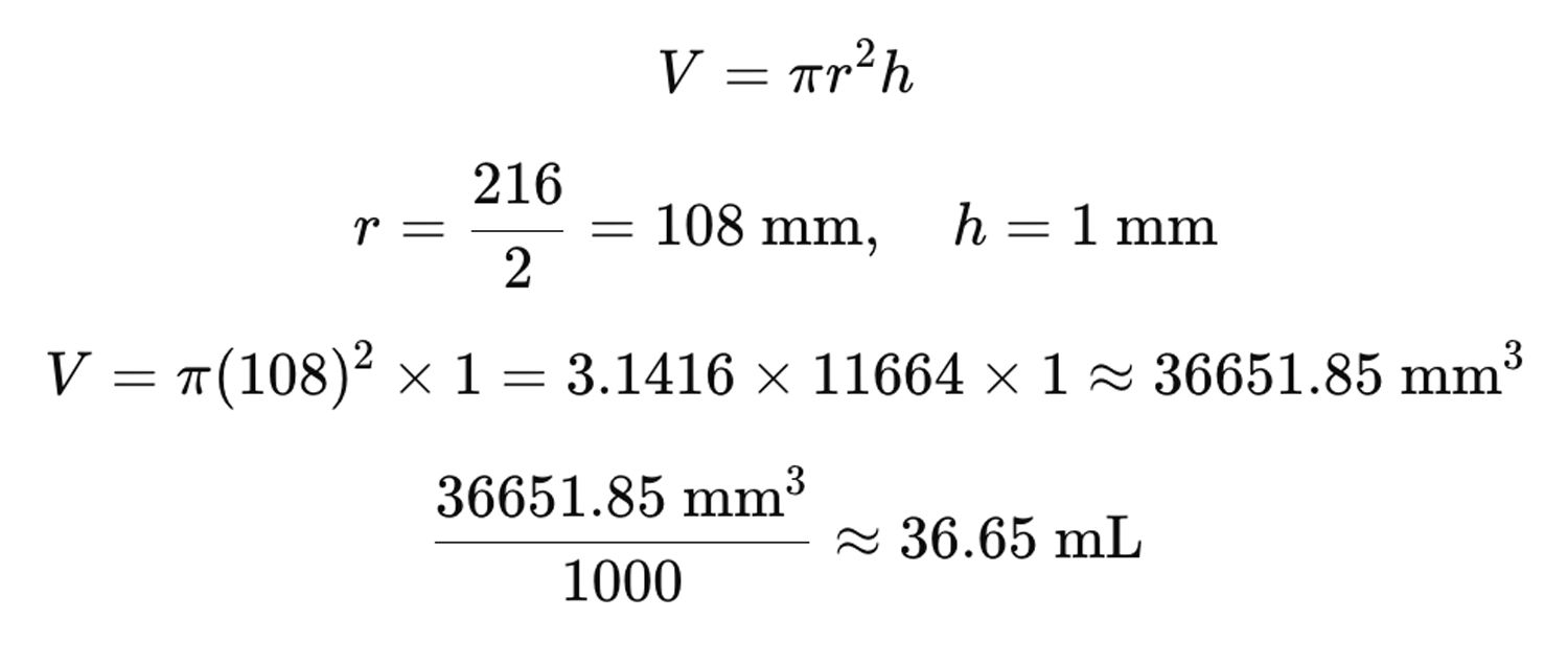
The next question is: How much of a difference in water volume can a six millimeter difference in phalanx length make? Well, that's as simple as calculating the volume of a cylinder, because what is a pot if not a cylinder that's closed on one end and open on the other? I figured the most common pot size for most at-home batches of rice would be about three quarts. After looking at lots of 3-quart pots online I settled on 8 1/2 inches as a good average diameter, which any sane person would immediately convert to metric (216mm) before doing any math.

The question then becomes: What's the volume of a 216mm-wide pot for every one millimeter of height? Many readers may be struggling to remember their high school (middle school?) geometry formulas, so I'll remind you: The volume of a cylinder is calculated by multiplying pi by the square of the radius, and then multiplying that result by the height.

This is the math:

Knuckle rice equation

Serious Eats

Let's just walk through the above in case it's causing the math-phobic among us mental paralysis.

  • First we calculate the radius: The radius is half the length of diameter. The pot’s diameter is 216mm, so the radius is half that at 108mm.
  • Then we multiply pi by the square of the radius: 108mm squared is 11,664 square millimeters, and we multiply that by 3.1416, getting 36,651.85 square millimeters.
  • We multiply this result by the height: Multiplying 36,651.85 square millimeters by 1mm gives us a volume of 36,651.85 cubed millimeters.
  • As a last step, let's convert those cubed millimeters into milliliters: This gets us a final volume of 36.65mL for every 1mm of height in a typical 3-quart pot.

Translated to teaspoons—because, yes, after the undeniable mathematical beauty of the metric system, we're gonna switch back to the inane (yet familiar!) chaos of US customary—that's about 7 teaspoons for every 1mm of pot height.

Now let's go back to the 6mm range I'd documented when measuring index finger segments: If every millimeter of water in a 3-quart pot holds about 7 teaspoons, then a 6mm range in finger segment length can alter the volume of water in a rice recipe by 42 teaspoons. That's more than 3/4 cup!

Let me spell that out: The natural variation in a human finger can change the amount of water added to the rice by more than 3/4 cup, which is a significant amount considering we only want about 1/4 cup of extra "evaporation quotient" water when cooking rice.

This is not good news for the claim that knuckle rice is a foolproof method. But this is also just based on finger measurements and calculations on paper. What happens when you look at the messiness of the real-world scenario in which one has to stick their finger into a pot and add water?

I tested that too.

Test 2: You Can Lead a Knuckle to Water…But Can It Make Good Rice?

In this test, I asked a bunch of people to add water to one cup (200 grams) of dry jasmine rice in a 3-quart pot using the knuckle method, weighing how much water was added each time.

 Water Amount (Grams)  Finger Length (CM)
 689 2.4
 639 2.5
 534 2.4 
 518 2.3
 448 2.7 
 425 2.5 
 421 2.3 
 405 2.4
 348 2.7 
 295 2.4 
 259 2.5 
 236 2.6 

As you can see above, the most water added was 689 grams (almost three cups), and the least amount of water was 236 grams (about one cup). For comparison's sake, if we were working with a ratio of 1 1/4 cups water for 1 cup of rice, the goal would be 295g water here. While one person absolutely nailed it, a few came in under and many more added too much water—shockingly too much. But even if we remove the most extreme measurements from the top and bottom ends of the range, we're still looking at 639g on the high end and 259g on the low end, which is a huge range.

Even weirder, the amounts of water added don't seem to correlate with finger length in the ways we'd expect. Instead of the amount of water added going up as finger length increases, my data shows no clear correlation between finger length and water quantity.

What's up with that? Well, for starters, my sample size is small. Perhaps my data would be better with a hundred data points instead of the 12 I have here. Another possibility is that we didn't standardize the technique well enough across participants. I had told them to place their index finger against the bed of rice and pour water up to the first knuckle joint, but it's possible not everyone interpreted these instructions the same way. Maybe some allowed their fingers to sink down into the bed of rice, held their finger at an angle, and/or judged the "first knuckle" inconsistently (there are, after all, a lot of creases on the skin of our knuckles—who's to say where the line really is?).

Even if my data has a high degree of confounding factors, the test underscores a critical point: The knuckle rice method is meant to be foolproof, and yet it can easily be interpreted and applied differently with drastic consequences, and that's not even factoring in the guaranteed variation in water volume we would expect to see just from the differences in finger length.

Is the Knuckle Method Garbage?

Though I’ve never been let down by the knuckle method, our test results show that, in reality, this method is not a consistent way to make rice. That’s not to say that the knuckle method doesn’t work; it likely works well for the people who are familiar with it, like those who grew up watching their family prepare rice this way or have done it so many times that they’ve developed an intuition for the right amount of water to use over time. 

One of our contributors, Vy Tran, tells me that she uses the knuckle method (which she picked up from her mom) on a daily basis, but doesn’t think it’s consistent. “Once you figure out a certain water level and can eyeball it, it works well,” she says. “But usually different types of rice will need trial and error of how much water.” 

Side view of knuckle rice

Serious Eats / Amanda Suarez

It appears that the knuckle method works not because there’s something precise about it, but because the people who use it have developed a deep familiarity over time, becoming more and more attuned to the nuances of the method without realizing it's not just the method, but their experience, that makes it work. And so it was for the people they learned from, and the people they learned from, going back generations. 

Even though I’m a baker and pastry chef by training and swear by the scale, I am still deeply devoted to the knuckle method. The fact that this method works for so many people—despite the huge variation in knuckle lengths and the amount of water used—suggests that practice does, indeed, make perfect. But it’s more than practice: It’s the embodiment of knowledge and experience one gains over time in the kitchen. There is an art to making a great pot of rice, one that is built on an intuitive feel learned by our hands by doing something hundreds, if not thousands, of times, often in ways we're not even conscious of. The knuckle method may not literally be the best way to cook rice, but it’s also undeniably the best way to cook rice.

So does the knuckle method work? It can—but not for the reasons everyone thinks.

Explore more: